Son dakika haberi... Resmi Gazete'de yayımlanan ilana göre; 30.000 sözleşmeli sağlık personeli olmak üzere toplam 31.183 sözleşmeli personel alınacak. Bakanlığın taşra teşkilatında istihdam edilmek üzere 11.317 sürekli işçi alımı da yapılacak.
Resmi Gazete'de detaylı bilgilendirme ve başvuru süreci ile ilgili detaylar şu şekilde yer aldı:
11.317 SÜREKLİ İŞÇİ ALIM İLANI
1. 4857 sayılı İş Kanunu ile mezkûr Kanuna dayanılarak çıkarılan, Kamu Kurum ve Kuruluşlarına İşçi Alınmasında Uygulanacak Usul ve Esaslar Hakkında Yönetmelik hükümleri uyarınca Bakanlığımız taşra teşkilatında istihdam edilmek üzere 11.317 sürekli işçi alımı yapılacaktır.
2. Adaylar, ilanlara Türkiye İş Kurumu (İŞKUR) esube.iskur.gov.tr adresinden ulaşabilir.
3. Başvurular, Türkiye İş Kurumu (İŞKUR) esube.iskur.gov.tr adresi üzerinden 28/11/2022 - 02/12/2022 tarihleri arasında elektronik (online) kullanıcı girişi yapılarak alınacaktır.

4. Bakanlığımızın ihtiyaç duyduğu hizmet türlerinde/mesleklerinde alımların il düzeyinde karşılanması yoluna gidilecektir. Başvurularda, kişilerin Adrese Dayalı Nüfus Kayıt Sisteminde kayıtlı olan adresleri dikkate alınacaktır. Başvurular, ilgili mevzuat hükümlerine göre Türkiye İş Kurumu (İŞKUR) tarafından alınacaktır.
5. Her aday, ilan edilen kadrolardan yalnızca bir işyeri (çalıştırılacağı il) ve bir mesleğe başvuru yapacaktır.
6. Sürekli işçi kadrolarının meslek ve kadro sayısına göre dağılımı aşağıda belirtilmiştir

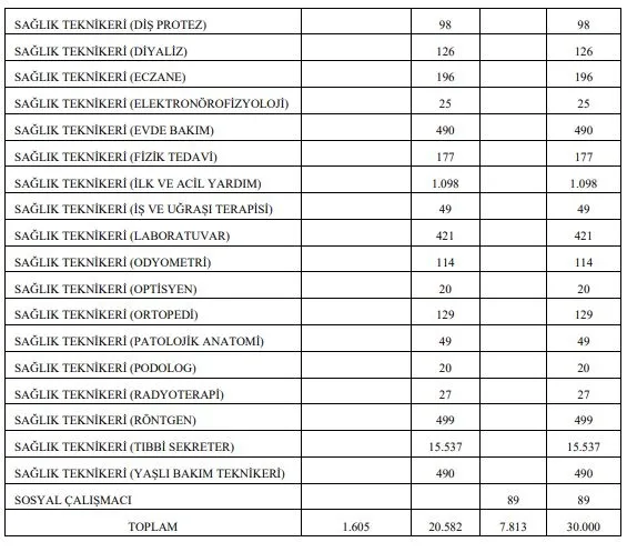
1.183 SÖZLEŞMELİ PERSONEL VE 30.000 SÖZLEŞMELİ SAĞLIK PERSONELİ ALIM İLANI
1. Sağlık Bakanlığı taşra teşkilatı hizmet birimlerinde istihdam edilmek üzere, 657 sayılı Devlet Memurları Kanununun 4 üncü maddesinin (B) fıkrası kapsamında 1.183 sözleşmeli personel, 657 sayılı Devlet Memurları Kanununun 4 üncü maddesinin (B) fıkrası ile 663 sayılı Kanun Hükmünde Kararnamenin 45/A maddesi kapsamında 30.000 sözleşmeli sağlık personeli olmak üzere toplam 31.183 sözleşmeli personel, Kamu Personel Seçme Sınavı (KPSS) sonucuna göre ÖSYM tarafından yapılacak merkezi yerleştirme ile alınacaktır.
2. Ortaöğretim, ön lisans ve lisans düzeylerinde tercih yapılabilecek sözleşmeli personel pozisyonlarının ve başvuru şartlarının bulunduğu KPSS-2022/11 Tercih Kılavuzu, ÖSYM'nin internet sitesi üzerinden yayınlanacaktır.

3. Adaylar tercihlerini 30 Kasım 2022 - 5 Aralık 2022 tarihleri arasında tercih kılavuzunda belirtilen kurallara göre ÖSYM'nin internet sitesi üzerinden T.C. Kimlik Numarası ve şifresini girerek yapabilecektir. ÖSYM'ye veya Sağlık Bakanlığına posta yoluyla gönderilen veya elden verilen tercih listeleri geçerli olmayacaktır.
4. Sözleşmeli personel pozisyonlarının unvan/branş ve öğrenim düzeylerine göre dağılımı ekte gösterilmiştir.


